Existe mesmo uma direitização na sociedade portuguesa?

porDiogo Machado

21 de março 2026 - 21:08
PARTILHAR

Há com certeza espaço para a esquerda em Portuga. No entanto, é necessário uma esquerda renovada, em conformidade com a reconfiguração da esquerda a nível mundial: uma esquerda que se foque resolutamente nos problemas concretos da vida das pessoas.

No debate político português, vai-se generalizando a ideia de que há uma «direitização» – rápida, estrutural, quiçá irreversível – do país. Assim parecem sugerir os mais recentes resultados eleitorais, concentrando a direita parlamentar mais de 2/3 dos deputados, enquanto o Partido Socialista e a esquerda radical são reduzidos a mínimos históricos. Na paisagem mediática, assistimos a verdadeiras purgas de comentadores e fazedores de opinião de esquerda. O debate público, no geral, parece estar cada vez mais tóxico a inquinado para a direita, arrastando o senso comum no mesmo sentido num clima crescentemente irrespirável.

Como sempre, Portugal chegou tarde. No pós-crise financeira de 2008, outros países ocidentais passaram por processos semelhantes, desencadeados por partidos de extrema-direita e pelos colaboradores que lhes estendem a mão. O caso francês, por exemplo, é absolutamente paradigmático e a verdade é que Jordan Bardella, do partido neofascista Rassemblement National, lidera confortavelmente todas as sondagens da primeira volta das Presidenciais de 2027.

Indo contra a corrente, Vincent Tiberj, sociólogo francês, publicou um livro em 2024 para ressituar o debate e devolver algum ânimo aos mais assoberbados pela direitização. Analisando longitudinalmente vários dados relativos às atitudes dos franceses em relação à política, Tiberj mostra que, por detrás dos resultados, os franceses têm cada vez mais atitudes associadas à esquerda, e não o contrário: ao longo do tempo, tem crescido o apoio à igualdade de género, aos direitos de minorias sexuais, à imigração, à intervenção do Estado na economia e a políticas redistributivas.

No entender do autor, a ausência de tradução destas crenças em dinâmicas eleitorais é o resultado de dois processos simultâneos. Por um lado, o divórcio dos eleitores da política institucional, especialmente expressivo nas camadas populares, que votam pouco. Com níveis de abstenção colossais, devemos refrear as conclusões retiradas de processos eleitorais pouco participados. Por outro lado, um movimento de «direitização a partir de cima», isto é, a forma como a direita domina a vida intelectual, política e mediática, influenciando, naturalmente, os eleitores. A isto poder-se-ia acrescentar as limitações da esquerda na capacidade de disputa política (até ao aparecimento da França Insubmissa, no caso francês).

Como dialoga esta hipótese com o contexto português?

Os valores dos portugueses

Os vários dados disponíveis de fontes muito compreensivas, como o European Social Survey ou o European Value Survey, quer de forma longitudinal ou de forma comparada, estão longe de contar a história de uma inequívoca viragem à direita nas atitudes dos portugueses.

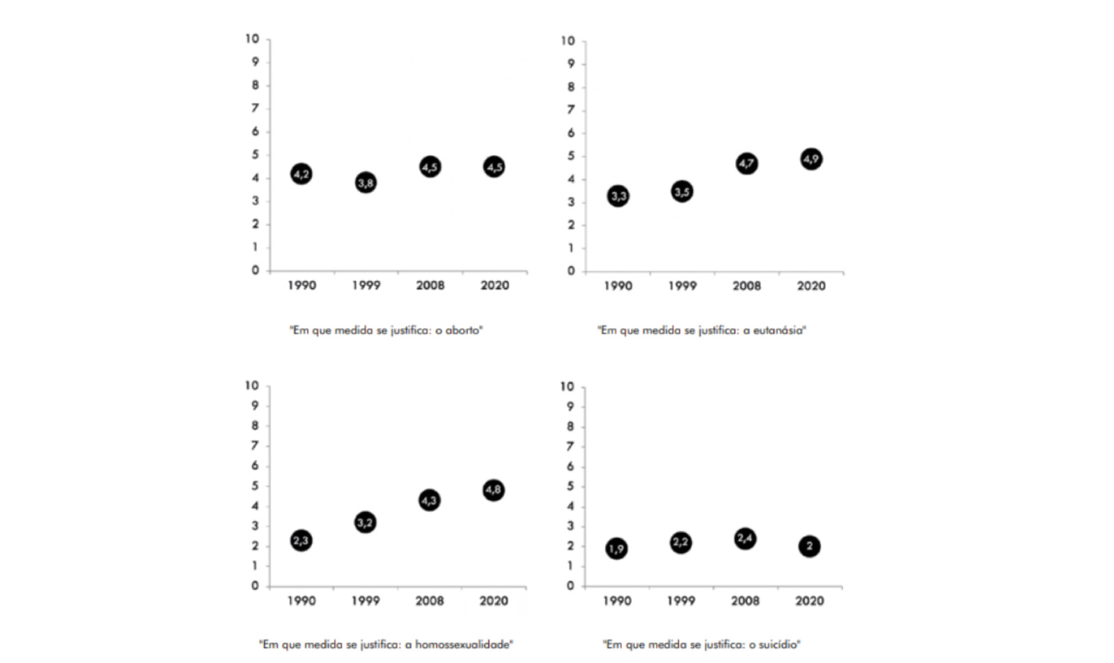
No que toca a questões de conduta individual, a sociedade portuguesa apoia crescentemente o aborto, a homossexualidade e a eutanásia, por exemplo. A tendência é evidente se analisarmos de forma visual.

Gráfico 1. Justificabilidade de práticas percebidas como “certas” ou “erradas”. Média amostral, de 1 (“nunca justificável”) a 10 (“sempre justificável”), Portugal, European Values Study. Retirado de Ramos & Magalhães, 2021, Os valores dos portugueses
Gráfico 1. Justificabilidade de práticas percebidas como “certas” ou “erradas”. Média amostral, de 1 (“nunca justificável”) a 10 (“sempre justificável”), Portugal, European Values Study. Retirado de Ramos & Magalhães, 2021, Os valores dos portugueseshttps://cdn.gulbenkian.pt/wp-content/uploads/2021/06/FCG_FutureForum_Studies01_PT_30jun.pdf

Em relação à imigração, Portugal é dos países ocidentais com uma visão mais positiva sobre a imigração, embora mais sobre o seu impacto económico do que sobre o suposto impacto cultural. Nos últimos anos, mesmo com a subida da extrema-direita, estas apreciações positivas continuam a ser maioritárias.

Politicamente, os portugueses, quando pedido que se coloquem na escala esquerda-direita, são sistematicamente daqueles que estão mais à esquerda nos conjuntos de países inquiridos. Na última edição do European Social Survey, somos o 3º onde mais se concorda que o governo deve intervir para reduzir a diferença de rendimentos. Em todos os conjuntos, os portugueses são sempre dos que mais apoiam a redução das desigualdades da riqueza e os serviços públicos. As opiniões pró-mercado/intervenção do Estado na economia são mais divididas, não se podendo denotar um viés claro.

No entanto, Portugal exibe sistematicamente uma grande desconfiança nas instituições e atores da política institucional. Segundo o European Social Survey, somos o 9º país de 30 em que os cidadãos são menos interessados em política e em que confiam menos nos políticos e nos partidos, sendo também o 4º país mais descrente na ideia de que o sistema político não permite influenciar o governo ou a política no geral. Somos também dos países em que os cidadãos são menos felizes, têm menores níveis de confiança interpessoal, e têm menor nível de atividade social fora de círculos íntimos.

É a intermediação, estúpido!

Sejamos claros: os dados não mostram uma tendência de «esquerdização» do eleitorado, longe disso. Mas também estão longe de mostrar uma viragem à direita nas atitudes dos portugueses; quanto muito, em muitos temas, mais de índole cultural do que económica, é certo, os portugueses têm valores cada vez mais próximos dos da esquerda.

Isto serve de pouco sem intermediação, porque é através dela que as crenças individuais são politizadas e se traduzem em ação política. E aí a direita leva um claro avanço, dominando a comunicação social, os algoritmos e tendo, até agora, consolidando expressão eleitoral. Portanto, a «direitização» é real. O que se pretende mostrar é que esta «direitização», que é em grande medida «a partir de cima» nas palavras de Tiberj, não é ‘estrutural’ ou ‘sociológica’, e muito menos inevitável ou irreversível, como se costuma dizer. Há mais que espaço para a politização à esquerda e para a constituição de um campo político autónomo – primeiramente pelas condições estruturais de crise de acumulação capitalista e do custo de vida, mas também pela disseminação de crenças e valores que viabilizam um projeto político de esquerda, haja capacidade de fazer disputa política.

O problema da esquerda portuguesa não é (só) uma cabala contra ela de todos os setores da sociedade impulsionada pelos neofascistas e os seus colaboradores; é sobretudo uma crise de intermediação, expressa na sua incapacidade de se afirmar como interlocutor político das classes populares, o que exige uma renovação de estratégia, narrativas e protagonistas. A verdade é que a direita tem sido notoriamente mais capaz de navegar a nova paisagem (hiper)política – não podemos culpar tudo no contexto.

O espaço de uma esquerda renovada

Não vale a pena alimentar fantasias de um operariado industrial que já não existe, mas a esquerda hoje pode federar franjas da classe trabalhadora mais precarizadas e descontentes numa plataforma que priorize o custo de vida e denuncie estruturalmente o sistema político-económico, cuja legitimidade é cada vez mais frágil.

As sementes estão lá. Atentemos sobre o último relatório «Portugal, Balanço Social» (2024), que desdobra dados sobre as atitudes dos portugueses e portuguesas do European Social Survey em função do género e do quintil dos rendimentos de quem é inquirido. Ele demonstra que:

  • a identificação com a direita é duas vezes maior nos mais ricos;
  • mais de metade dos mais pobres não tem interesse por política, considerando que o sistema político não dá voz às pessoas nem lhes permite influenciar os destinos do país;
  • mais de 90% das mulheres e das pessoas do quintil mais pobre acreditam que o governo deve reduzir as diferenças nos níveis de rendimento;
  • os direitos LGBTQIA+ e das mulheres são maioritários em todos os grupos, embora o quintil mais rico e as mulheres tenham atitudes mais favoráveis nas questões de inclusão e de direitos.

Existe um grande contingente de trabalhadores e trabalhadoras, tendencialmente de menores rendimentos e de menores níveis de instrução, que não estão ainda mobilizados politicamente, mas que estão muito insatisfeitos e desconfiados do sistema político, passam grandes dificuldades na sua vida quotidiana, e têm atitudes tendencialmente igualitárias do ponto de vista económico. Algum deste eleitorado, tradicionalmente abstencionista, tem começado a votar no Chega, mas ele não é homogéneo nem todo ele propenso a politizar-se à direita.

Há certamente pessoas já politizadas à esquerda, com um perfil mais urbano e de classe média, que é possível reconquistar, mas é na abstenção que está o grande reservatório da esquerda: as classes populares descrentes num processo democrático que tem falhado sistematicamente em melhorar as suas condições de vida. Afinal, sabemos que os mais pobres votam muito menos; e, seriamente, como podemos dizer que o povo está a virar à direita e a fascizar-se, frequentemente recorrendo a tropos de um povo alegadamente ‘burro’, ‘iletrado’ e ‘conservador’, caraterísticos de uma certa esquerda diplomada e urbana, quando mais de metade das pessoas não vota?

O último Eurobarómetro revela que 72% dos portugueses têm dificuldades em pagar as contas a maioria das vezes, contra 53% dos europeus. Apesar dos papões fabricados e impingidos pelas televisões e pelas redes sociais, a maioria dos portugueses está preocupada com a saúde pública, o custo de vida, o emprego e o combate à pobreza:

Gráfico 2. Respostas à questão A4ab do Inquérito de Outono do Parlamento Europeu: «Quais dos seguintes tópicos gostaria que fossem tratados como prioridade pelo Parlamento Europeu? Em primeiro lugar? E depois?», comparando a % de respondentes no conjunto da EU27 (azul-escuro) e Portugal (azul-claro).
Gráfico 2. Respostas à questão A4ab do Inquérito de Outono do Parlamento Europeu: «Quais dos seguintes tópicos gostaria que fossem tratados como prioridade pelo Parlamento Europeu? Em primeiro lugar? E depois?», comparando a % de respondentes no conjunto da EU27 (azul-escuro) e Portugal (azul-claro). Fonte: https://europa.eu/eurobarometer/surveys/detail/3632?etrans=pt

Há, então, com certeza espaço para a esquerda em Portugal – não nos demos nós derrotados por antecipação. No entanto, é necessário uma esquerda renovada, em conformidade com a reconfiguração da esquerda a nível mundial: uma esquerda que se foque resolutamente nos problemas concretos da vida das pessoas; que exprima o descontentamento com o sistema em linhas de classe, numa linguagem combativa e popular; que se organize nas comunidades e no contacto direto com a classe trabalhadora, criando vínculos de confiança.

Na era da hiperpolítica, as pessoas estão fartas da política tradicional e disponíveis para ofertas políticas novas e radicais, em consonância com a radicalidade das suas condições de vida e do estado a que chegamos. Saibamos dar-lhes um veículo político útil.

Diogo Machado
Sobre o/a autor(a)

Diogo Machado

Mestre em Relações Internacionais e trabalhador do setor financeiro
Termos relacionados: